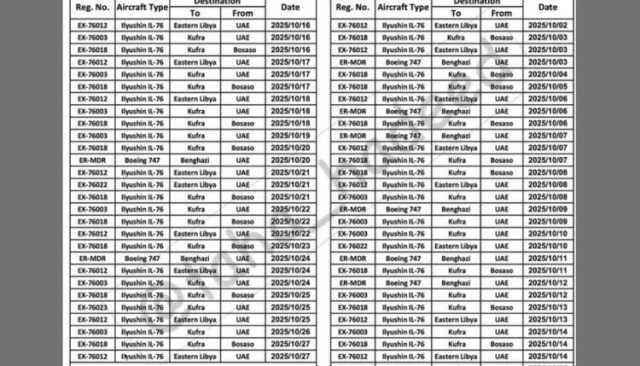
متابعات تاق برس- كشفت تقارير دولية موثوقة عن إرسال الإمارات عشرات الطائرات العسكرية إلى مليشيا الدعم السريع خلال شهر أكتوبر الماضي، محمّلة بأسلحة وذخائر ومعدات قتالية، في خرق واضح لحظر توريد السلاح المفروض على السودان بموجب قرارات مجلس الأمن الدولي.

 

ووفقاً للوثائق التي رصدتها منصات مراقبة الطيران وعدد من وسائل الإعلام الدولية، انطلقت الرحلات من مطارات إماراتية نحو مناطق النزاع في دارفور عبر مسارات جوية مرت بتشاد وليبيا قبل الوصول إلى وجهاتها داخل الأراضي السودانية.

 

وأظهرت البيانات أن الشحنات تضمنت أسلحة خفيفة ومتوسطة وطائرات مسيّرة وقطع غيار عسكرية، وتزامن وصولها مع تصاعد الهجمات الوحشية التي نفذتها قوات الدعم السريع على مدينة الفاشر وعدد من مدن إقليم دارفور.

 

وأكدت تقارير المراقبة أن العملية تُعد من أضخم عمليات الإمداد العسكري لقوة غير نظامية في أفريقيا خلال عام 2025، مشيرة إلى أن حجم ونوعية الأسلحة تعكسان مستوى الانخراط الخارجي في الصراع السوداني.

 

في السياق نفسه، دعت منظمات حقوقية وجهات سياسية سودانية إلى تحقيق دولي عاجل حول ما وصفته بـ”الانتهاك الصريح للقانون الدولي”، مطالبة بمساءلة الأطراف المتورطة في تغذية الحرب التي أودت بحياة آلاف المدنيين وتسببت في كارثة إنسانية واسعة.

المصدر: تاق برس

إقرأ أيضاً:

الأمم المتحدة تتهم “الدعم السريع” بتجويع الفاشر ونقابة الأطباء تتحدث عن إبادة

اتهمت الأمم المتحدة الأربعاء، قوات “الدعم السريع” باستخدام التجويع سلاح حرب في مدينة الفاشر بولاية شمال دارفور غربي السودان، فيما تحدثت نقابة أطباء السودان عن “إبادة وتطهير عرقي” راح ضحيتها آلاف المدنيين بعد سيطرة تلك القوات على المدينة.
وقالت منسقة الأمم المتحدة المقيمة ومنسقة الشؤون الإنسانية في السودان دينيس براون، إن قوات “الدعم السريع” شدّدَت الخناق على الفاشر ومنعت الغذاء عن المدنيين، مضيفة أن الدعم الإنساني “مقطوع فعليّاً عن المدينة منذ أكثر من 500 يوم”، وفق ما نقله موقع “أخبار الأمم المتحدة”.
وأوضحت براون أن القوات “أبقت المدنيين محبوسين في مكان لا يستطيعون فيه الوصول إلى الغذاء، وهو ما يعادل استخدام التجويع سلاح حرب”، مشيرة إلى تقارير موثوق بها تؤكّد وقوع إعدامات ميدانية بحق مدنيين في أثناء محاولتهم الفرار من القتال.
وأكدت ضرورة توثيق الانتهاكات لتحقيق العدالة والمساءلة مستقبلاً، ودعت إلى تأمين وصول المساعدات الإنسانية إلى الفاشر.
في السياق نفسه قالت نقابة أطباء السودان في بيان إن نحو 177 ألف مدني ما زالوا محاصرين في الفاشر، مشيرة إلى أن تقديرات فرقها الميدانية تشير إلى أن الضحايا بالآلاف.
وأضافت أن ما حدث في المدينة يمثل “إبادة وتطهيراً عرقياً ممنهجاً وجرائم حرب مكتملة الأركان”، مشيرة إلى أن قوات “الدعم السريع” ارتكبت مجزرة مروعة بحق مدنيين عُزْل على أساس إثنيّ، تضمنت “حرق أبرياء أحياء وتصفية مرضى داخل المستشفيات”.

TRT

إنضم لقناة النيلين على واتساب

مقالات مشابهة

  • “وجه الرعب” في الفاشر..من هو السفاح “أبو لولو” الذي تفاخر بقتل مئات السودانيين؟ / فيديو و صور
  • الأمم المتحدة تتهم “الدعم السريع” بتجويع الفاشر ونقابة الأطباء تتحدث عن إبادة
  • من هو “أبو لولو” قائد الدعم السريع في الفاشر؟
  • الاتحاد الأوروبي يندد بـ “وحشية” الدعم السريع
  • الدعم السريع تسيطر على دارفور وتقسم السودان: هل قلبت الإمارات ميزان الأمن القومي المصري؟
  • الدعم السريع تسيطر على دارفور ويقسم السودان: هل قلبت الإمارات ميزان الأمن القومي المصري؟
  • الدعم السريع يسيطر على دارفور ويقسم السودان: هل قلبت الإمارات ميزان الأمن القومي المصري؟
  • “الخارجية”: المملكة تُعرب عن بالغ قلقها واستنكارها للانتهاكات الإنسانية الجسيمة التي جرت خلال الهجمات الأخيرة لقوات الدعم السريع على مدينة الفاشر
  • أكد أنهم سيعودون ويقتصون للمدنيين.. البرهان يقر بانسحاب الجيش السوداني من “الفاشر”